Integration By Substitution - Geneseo Math 222 01 Inverse Trig Functions / In this section, we see how to integrate expressions like `int(dx)/((x^2+9)^(3//2))` depending on the function we need to integrate, we substitute one of the following trigonometric expressions to simplify the integration:.

You can evaluate the integral using integral calculator with steps easily online. Once the substitution is made the function can be simplified using basic trigonometric identities. Similarly, you can find double integral calculator on this website. Theorem if u = g(x) is a differentiable function whose range is an interval i and f is continuous on i, then ˆ f(g(x))g′(x)dx = ˆ f(u)du. This method of integration is helpful in …

Oct 19, 2021 · integration calculator with steps allows you to learn the concepts of calculating integrals without spending too much time. Geneseo Math 222 01 Inverse Trig Functions
Geneseo Math 222 01 Inverse Trig Functions from www.geneseo.edu
It is the counterpart to the chain rule for differentiation, and can loosely be thought of as using the chain rule backwards. Oct 19, 2021 · integration calculator with steps allows you to learn the concepts of calculating integrals without spending too much time. You can evaluate the integral using integral calculator with steps easily online. The first and most vital step is to be able to write our integral in this form: 164 chapter 8 techniques of integration z cosxdx = sinx+c z sec2 xdx = tanx+ c z secxtanxdx = secx+c z 1 1+ x2 dx = arctanx+ c z 1 √ 1− x2 dx = arcsinx+ c 8.1 substitution needless to say, most problems we encounter will not be so simple. Math ap®︎/college calculus ab integration and accumulation of change integrating using substitution. This method of integration is helpful in … By changing variables, integration can be simplified by using the substitutions x=a\sin(\theta), x=a\tan(\theta), or x=a\sec(\theta).

By changing variables, integration can be simplified by using the substitutions x=a\sin(\theta), x=a\tan(\theta), or x=a\sec(\theta).

This method of integration is helpful in … It is the counterpart to the chain rule for differentiation, and can loosely be thought of as using the chain rule backwards. Similarly, you can find double integral calculator on this website. Math ap®︎/college calculus ab integration and accumulation of change integrating using substitution. By changing variables, integration can be simplified by using the substitutions x=a\sin(\theta), x=a\tan(\theta), or x=a\sec(\theta). In this section, we see how to integrate expressions like `int(dx)/((x^2+9)^(3//2))` depending on the function we need to integrate, we substitute one of the following trigonometric expressions to simplify the integration:. This is the currently selected item. This has the effect of changing the variable and the integrand. The first and most vital step is to be able to write our integral in this form: Oct 19, 2021 · integration calculator with steps allows you to learn the concepts of calculating integrals without spending too much time. ∫ f(g(x)).g'(x).dx = f(t).dt, where t = g(x) usually the method of integration by substitution is extremely useful when we make a substitution for a function whose derivative is also present in the integrand. The general form of integration by substitution is: You can evaluate the integral using integral calculator with steps easily online.

Once the substitution is made the function can be simplified using basic trigonometric identities. ∫ f(g(x)).g'(x).dx = f(t).dt, where t = g(x) usually the method of integration by substitution is extremely useful when we make a substitution for a function whose derivative is also present in the integrand. Theorem if u = g(x) is a differentiable function whose range is an interval i and f is continuous on i, then ˆ f(g(x))g′(x)dx = ˆ f(u)du. Similarly, you can find double integral calculator on this website. 164 chapter 8 techniques of integration z cosxdx = sinx+c z sec2 xdx = tanx+ c z secxtanxdx = secx+c z 1 1+ x2 dx = arctanx+ c z 1 √ 1− x2 dx = arcsinx+ c 8.1 substitution needless to say, most problems we encounter will not be so simple.

Once the substitution is made the function can be simplified using basic trigonometric identities. Integration by trig substitution: x over square root of {4
Integration by trig substitution: x over square root of {4 from i.ytimg.com
The general form of integration by substitution is: Once the substitution is made the function can be simplified using basic trigonometric identities. Oct 19, 2021 · integration calculator with steps allows you to learn the concepts of calculating integrals without spending too much time. Theorem if u = g(x) is a differentiable function whose range is an interval i and f is continuous on i, then ˆ f(g(x))g′(x)dx = ˆ f(u)du. The first and most vital step is to be able to write our integral in this form: When dealing with definite integrals, the limits of integration can also change. You can evaluate the integral using integral calculator with steps easily online. ∫ f(g(x)).g'(x).dx = f(t).dt, where t = g(x) usually the method of integration by substitution is extremely useful when we make a substitution for a function whose derivative is also present in the integrand.

164 chapter 8 techniques of integration z cosxdx = sinx+c z sec2 xdx = tanx+ c z secxtanxdx = secx+c z 1 1+ x2 dx = arctanx+ c z 1 √ 1− x2 dx = arcsinx+ c 8.1 substitution needless to say, most problems we encounter will not be so simple.

You can evaluate the integral using integral calculator with steps easily online. This is the currently selected item. Oct 19, 2021 · integration calculator with steps allows you to learn the concepts of calculating integrals without spending too much time. It is the counterpart to the chain rule for differentiation, and can loosely be thought of as using the chain rule backwards. The first and most vital step is to be able to write our integral in this form: Once the substitution is made the function can be simplified using basic trigonometric identities. This method of integration is helpful in … Math ap®︎/college calculus ab integration and accumulation of change integrating using substitution. When dealing with definite integrals, the limits of integration can also change. 164 chapter 8 techniques of integration z cosxdx = sinx+c z sec2 xdx = tanx+ c z secxtanxdx = secx+c z 1 1+ x2 dx = arctanx+ c z 1 √ 1− x2 dx = arcsinx+ c 8.1 substitution needless to say, most problems we encounter will not be so simple. Similarly, you can find double integral calculator on this website. ∫ f(g(x)).g'(x).dx = f(t).dt, where t = g(x) usually the method of integration by substitution is extremely useful when we make a substitution for a function whose derivative is also present in the integrand. In this section, we see how to integrate expressions like `int(dx)/((x^2+9)^(3//2))` depending on the function we need to integrate, we substitute one of the following trigonometric expressions to simplify the integration:.

This is the currently selected item. Once the substitution is made the function can be simplified using basic trigonometric identities. ∫ f(g(x)).g'(x).dx = f(t).dt, where t = g(x) usually the method of integration by substitution is extremely useful when we make a substitution for a function whose derivative is also present in the integrand. It is the counterpart to the chain rule for differentiation, and can loosely be thought of as using the chain rule backwards. By changing variables, integration can be simplified by using the substitutions x=a\sin(\theta), x=a\tan(\theta), or x=a\sec(\theta).

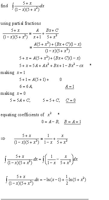
The first and most vital step is to be able to write our integral in this form: INTEGRATION ALGEBRAIC FRACTIONS, integration from A-level
INTEGRATION ALGEBRAIC FRACTIONS, integration from A-level from a-levelmathstutor.com
Math ap®︎/college calculus ab integration and accumulation of change integrating using substitution. Oct 19, 2021 · integration calculator with steps allows you to learn the concepts of calculating integrals without spending too much time. In this section, we see how to integrate expressions like `int(dx)/((x^2+9)^(3//2))` depending on the function we need to integrate, we substitute one of the following trigonometric expressions to simplify the integration:. Similarly, you can find double integral calculator on this website. ∫ f(g(x)).g'(x).dx = f(t).dt, where t = g(x) usually the method of integration by substitution is extremely useful when we make a substitution for a function whose derivative is also present in the integrand. This is the currently selected item. Theorem if u = g(x) is a differentiable function whose range is an interval i and f is continuous on i, then ˆ f(g(x))g′(x)dx = ˆ f(u)du. When dealing with definite integrals, the limits of integration can also change.

Theorem if u = g(x) is a differentiable function whose range is an interval i and f is continuous on i, then ˆ f(g(x))g′(x)dx = ˆ f(u)du.

This has the effect of changing the variable and the integrand. Math ap®︎/college calculus ab integration and accumulation of change integrating using substitution. In this section, we see how to integrate expressions like `int(dx)/((x^2+9)^(3//2))` depending on the function we need to integrate, we substitute one of the following trigonometric expressions to simplify the integration:. It is the counterpart to the chain rule for differentiation, and can loosely be thought of as using the chain rule backwards. This method of integration is helpful in … The first and most vital step is to be able to write our integral in this form: Theorem if u = g(x) is a differentiable function whose range is an interval i and f is continuous on i, then ˆ f(g(x))g′(x)dx = ˆ f(u)du. ∫ f(g(x)).g'(x).dx = f(t).dt, where t = g(x) usually the method of integration by substitution is extremely useful when we make a substitution for a function whose derivative is also present in the integrand. Once the substitution is made the function can be simplified using basic trigonometric identities. You can evaluate the integral using integral calculator with steps easily online. 164 chapter 8 techniques of integration z cosxdx = sinx+c z sec2 xdx = tanx+ c z secxtanxdx = secx+c z 1 1+ x2 dx = arctanx+ c z 1 √ 1− x2 dx = arcsinx+ c 8.1 substitution needless to say, most problems we encounter will not be so simple. Similarly, you can find double integral calculator on this website. Oct 19, 2021 · integration calculator with steps allows you to learn the concepts of calculating integrals without spending too much time.

Integration By Substitution - Geneseo Math 222 01 Inverse Trig Functions / In this section, we see how to integrate expressions like `int(dx)/((x^2+9)^(3//2))` depending on the function we need to integrate, we substitute one of the following trigonometric expressions to simplify the integration:.. In this section, we see how to integrate expressions like `int(dx)/((x^2+9)^(3//2))` depending on the function we need to integrate, we substitute one of the following trigonometric expressions to simplify the integration:. This method of integration is helpful in … The first and most vital step is to be able to write our integral in this form: You can evaluate the integral using integral calculator with steps easily online. This has the effect of changing the variable and the integrand.

∫ f(g(x))g'(x)dx = f(t)dt, where t = g(x) usually the method of integration by substitution is extremely useful when we make a substitution for a function whose derivative is also present in the integrand integration. The first and most vital step is to be able to write our integral in this form:

Tidak ada komentar

Diberdayakan oleh Blogger.